一、 数据说明
广东省家电出口 分市场分种类 分贸易方式2017~2024
由于家电种类较多,分种类数据只列举电视机、空调、冰箱、电扇、微波炉、吸尘器、洗衣机这7类。
数据整理:学研数据网,数据来源购买后见表格
二、 数据字段
家电出口种类 出口贸易方式 出口市场/目的国
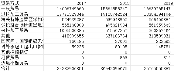
三、 数据样本




四、 获取方式
购买后查看下载链接
单独购买或升级vip查看下载地址
下载价格150 RMB
引用请注明出处:学研数据网www.xueyandata.com。会员每天最多下载1次,每月最多下载3次。任何形式的转售、代下行为将被封号,特此说明


评论2