一、数据说明
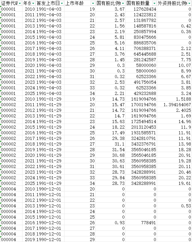
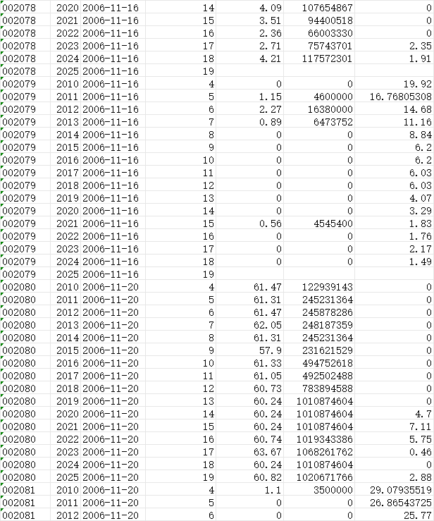
此处仅统计A股上市公司前十股东里面的国有股,包括国家产业投资基金、国有法人、社保基金等,2010~2024年,样本公司4400家,2025年更新了一部分。数据更新于2026年4月。
数据整理:学研数据网,数据来源见表格
二、数据字段
证券代码 年份 首发上市日 上市年龄 国有股比例% 国有股数量 外资持股比例%
三、数据样本


四、获取数据
单独购买或升级vip查看下载地址
下载价格200 RMB
引用请注明出处:学研数据网www.xueyandata.com。会员每天最多下载1次,每月最多下载3次。任何形式的转售、代下行为将被封号,特此说明


评论0